Abstract
Tree failures, including branch breakage, trunk rupture, and uprooting, pose an ever-growing threat to public safety and the operability of transport infrastructure in both urban and rural environments. Ongoing trends, such as the increasing frequency and intensity of extreme meteorological events, combined with tree ageing and the spread of pathogens, are currently amplifying this risk. In this context, vibration-based inspection (VBI) is emerging as a promising quantitative approach for assessing tree stability and for supporting preventive risk management. This document presents an overview of the problem and briefly summarises dynamic testing and VBI monitoring strategies. Strengths, limitations, and open challenges are critically discussed, highlighting the need for continuous, objective, and scalable monitoring protocols.
Highlights
- Treefalls are an increasing threat to public safety and the operability of road and rail infrastructure, amplified by extreme weather, ageing, and pathogens.
- Vibration-based inspection offers a quantitative, non-invasive route to assess tree stability by tracking dynamic response under ambient excitation.
- Dynamic monitoring can support continuous risk surveillance, moving beyond subjective and episodic visual tree assessment protocols.
- Vibration features alone are not sufficient for reliable diagnosis; integration with static, environmental, and tomographic data is needed for robust prediction.
- The Risk Observation and Output-only Tree Surveillance (ROOTS) inter-departmental project of Politecnico di Torino is dedicated to advance knowledge in this regard.
1. Introduction
Treefalls, i.e., mechanical failures of trees, are a serious problem. Focusing on the tree as a (bio)structure, such events can be either structurally localised, i.e., branch detachments, or global collapses, involving trunk rupture or uprooting. Any of these three failure modes (root, trunk, or branch failure) represents a potential threat to human life. Some examples of these impressive but no longer uncommon events are shown in Fig. 1.
The severity of the consequences depends on the affected area. Fallen branches and uprooted trees can endanger the surrounding environment, threaten public safety for passers-by (pedestrians and vehicles), cause property damage, and disrupt public infrastructure, particularly transportation networks, with negative economic consequences.
On the one hand, trees are naturally shaped to have great stability and survivability under dynamic environmental forces. They also have adaptive capabilities, e.g., being able to withstand stronger winds when grown in particularly exposed territories (such as Trieste, Italy), as they become mechanically acclimated to chronic loads (thigmomorphogenesis, see e.g. [1]). Yet, treefalls are becoming increasingly frequent due to many reasons, especially climate change [2]. The ever-growing occurrence of these events has also emphasised the inadequacy of purely qualitative or episodic assessment methods. Indeed, traditional tree stability assessment frameworks rely primarily on expert-based visual inspections, occasionally supported by a few and limited instrumental tests. While these approaches benefit from professional experience, they remain inherently subjective. In engineering terms, they are poorly suited to continuous, persistent risk surveillance and application at scale. In contrast, automated monitoring strategies, inherited from classic structural applications in Aerospace, Civil, and Mechanical Engineering, may provide quantitative, objective, and scalable tools for risk assessment, predictive maintenance, and early warning.
In particular, vibration-based inspection (VBI) draws on concepts from structural dynamics and structural health monitoring (SHM), aiming to extract quantitative indicators of structural condition from the dynamic response of the target systems (here, tall trees) under ambient excitation, without requiring a controlled external input. The core concept is to build a ‘normality’ model, based on a dataset of empirically measured vibrations under known ambient loads and actions. Whenever the system (tree) behaves anomalously relative to the statistical model, an alarm can be triggered to assess, through other, more invasive tests, whether the unexpected state is caused by growing structural damage or by some other harmless (damage-unrelated) cause. Thus, the motivations driving towards dynamic monitoring in treefall risk assessment and risk reduction are introduced and detailed here.
Fig. 1Examples of the most common treefall mechanisms

a) Uprooting

b) trunk breakage

c) Branch failure
2. The growing threat of treefalls in Italy and worldwide.
Numerous events can be mentioned from a national and international perspective. For example, limiting the discussion to the City of Turin alone, some recently released data [3] highlight the growing scale of the phenomenon. In detail, the source [3] reported 42 tree failures/damage events between 2021 and 2022, then rising to 85 incidents during 2023, and finally 242 failures in the summer period (June-September) of 2024 alone – a +600 % increase in four years.
Nationwide in Italy, several tragic events happened in the 2024-2025 cold season alone. In Genoa, a palm tree was uprooted on March 12th, 2025, after days of heavy rain, which probably softened the soil around the tree’s roots. This resulted in the death of one person [4]. At the University of Salerno Campus in Fisciano, on November 30th, 2024, due to strong winds, one uprooted tree injured five persons, two of them with fractured bones and another with serious injuries to the brain, chest, and spine [5]. A 50-year-old holm oak fell in Venice’s car and bus terminal of Piazzale Roma on June 2nd, 2025, trapping twelve people, some of whom required hospitalization recovery with more or less severe injuries [6].
In Rome, a 25 m-tall poplar tree collapsed inside a park in a city neighbourhood on December 23rd, 2024, trampling two women and resulting in one fatality and one serious injury [7]. Before the collapse, caused by strong winds, the tree showed no signs of decay or particular problems upon visual inspection and had a crown in a good vegetative state. The event prompted an investigation by the local police of Roma Capitale and the Carabinieri Forestali, with prosecutors adding this to a larger investigation already underway on the state of tree maintenance in the Capital, with reports on more than 600 of the 1,000 tall trees subject to structural failure from March 2023 to March 2024 in Rome [8].
In late 2025 and early 2026, the situation even worsened: at Trani (Apulia), on January 10th, 2026, a historic palm tree fell in the city centre due to strong winds, barely missing a pedestrian by only a few moments [9]. Again in Rome, on February 1st, 2026, a centuries-old pine tree fell in Via dei Fori Imperiali, a few steps from the Colosseum, following severe weather with heavy rain. A 17-year-old girl and two tourists were taken to the hospital with minor injuries [10]. The large tree blocked most of the roadway, requiring immediate intervention by the authorities to avoid further risks to pedestrians and drivers in an area with high tourist and vehicle traffic. The incident reignited attention to the stability of historic trees in the Italian capital, as this was the third tree to fall on the same road in the historic centre since the beginning of 2026, in slightly more than one month: the first occurred on the evening of January 3rd, 2026, when an over-20-metres-tall tree collapsed near the tourist information point on Via del Tempio della Pace, about 100 metres from Largo Corrado Ricci [11]. A week later, on Thursday, January 8th, 2026, a second collapse happened at dawn at a few dozen metres from the Vittoriano [12]. In the same period, two palm trees fell in Genoa, on January 4th and February 3rd, 2026 [13]. A red palm weevil infestation appears to be the cause of at least the first of these two collapses.
Based on all these and related events, a conservative estimate from this paper’s Authors, based on web research, identifies at least 4 confirmed deaths and 26 confirmed injured persons during the period between January 2024 and January 2026.
Additional data can be found in the international scientific literature, including reviews of accidents in the United States [14], the United Kingdom [15], and the Netherlands [16], among others. In particular, the Dutch study [16] highlights how the standard rate of injuries per 1,000,000 population increased from 0.14 in 1998 to 0.91 in 2021, with an annual growth rate of 5.3 %; it also evidenced the vulnerability factor, as 75 % of recorded incidents occurred in urban areas, most likely due to higher human presence. Injuries were 2.5-4 times more likely per capita in rural areas, possibly also due to statistical bias (only major incidents being reported outside of population centres). On the other hand, it is statistically proven that urban trees have shorter lifespans than those in rural areas, and increased failure rates, due to environmental stressors like compacted soils, reduced water availability, and urban heat [2].
These are also particularly insidious for transportation (rail and road) infrastructure, as they can affect safety and operability at the network level in two ways: directly, by striking passing trains, cars, and trucks, and indirectly, by obstructing passage, causing traffic disruptions, even potentially leading to fatal car and train crashes. Deaths reported in [16] were predominantly caused by roadside tree crashes.
3. The current tree stability assessment procedures
As of now, tree stability assessment is mainly performed through Visual Tree Assessment (VTA), i.e., an expert analysis conducted by appointed professionals to identify structural defects, including decay, cracks, fungal bodies, and soil movement at the base. Instrumental analysis is less common and, even when performed, it generally consists of spot measurements, such as static load testing (Pull Test), and sonic or electrical tomography, used to detect internal decay or cavities in the trunk. Permanent and continuous monitoring systems are rarely used, and their hardware and software specifications are not yet standardised.
In this regard, the current reference document in Italy is the Protocollo di Valutazione di Stabilità degli Alberi [17], prepared by the Società Italiana di Arboricoltura (S.I.A.). These official guidelines outline the main aspects of tree stability assessment. However, the document reports (verbatim translated): “The stability assessment begins with a visual analysis, which may be supplemented by diagnostic and/or instrumental investigations based on the symptoms observed”, yet further adding “Instrumental analysis, however it is carried out, is part of the assessment, but it is not the assessment itself; instrumental evidence must be interpreted in light of what has been identified through visual analysis and is intended to confirm the stability assessment. The type and quantity of instrumental analyses are defined by the assessor” [17]. Hence, under the current Italian legislation, the stability assessment is bound to subjective, visual interpretation; the use of quantitative data is only considered optional, not binding, and subordinate and ancillary to the expert decision, not the other way around, as it is more conventional in data-based decision making.
A recent alternative is the Areté protocol [18], which proposes a more risk-targeted approach and a prioritisation framework. In terms of instrumental analysis, it maintains a similar approach, with a core of VTA and evaluation from a professional expert; however, the instrumental analysis (together with model analyses) is presented as a source of objective data that can be fundamental for defining structural variables that inform and support the expert’s diagnosis.
4. Trees as structural systems: biomechanical modelling
The application of structural mechanics concepts to trees is a common field of study within the broader area of biomechanics, which has been extensively studied since the 1970s [19,20]. From a purely mechanical perspective, a tree can be interpreted as a living, evolving and complex structural system, subjected primarily to dynamic loading of various sources. Many ambient factors, predominantly among them wind action, induce oscillatory motion in the structure, with both global and local dynamic responses. It is, indeed, possible to discern between trunk-dominated (global) and branch-specific (local) modes; all of them are, to a greater or lesser extent, affected by tree geometry (especially the canopy architecture), timber mechanical properties, and boundary conditions at the root-soil interface. Thus, they behave anomalously whenever any of these characteristics undergoes a significant change. In this sense, it is possible to directly translate tools and methods developed for SHM of human-made buildings to tall trees, given the similarities in wind-induced aeroelastic dynamics (compare, e.g., the principles of [21] with [22]).
Fig. 2Example of simplified discrete and continuous models for tree vibration analysis, with the tree trunk, branches, and sub-branches all simplified as pointwise masses, interconnected through springs and dampers, which can inform the optimal sensor placement for investigating global and local modes

a) SDoF and 2-DoF simplified systems [23]

b) MDoF system (2) with trunk, branches, and sub-branches [24]

c) Trunk and main branches as an ensemble of continuous beams with global and local modes (top row), also accounting for different branch orders and levels (middle row), considering lumped masses and rotational springs for rotational degrees-of-freedom (bottom row) [26]
Simplified mechanical models are often adopted to describe tree dynamics (see Fig. 2 for common examples). These include single-degree-of-freedom (SDoF) and multi-degree-of-freedom (MDoF) discretisations [23, 24], as well as continuous models, depending on the complexity of the tree architecture. In particular, the arrangement and geometry of the canopy and main branches have been identified as key factors influencing the global dynamic response [25], affecting the modal parameters (natural frequencies , mode shapes , and especially damping ratios ). As mentioned, these parameters encapsulate the combined effects of stiffness, mass distribution, and energy dissipation mechanisms within the trunk-branches-roots-soil system.
Within vibration-based monitoring frameworks, these modal parameters are commonly treated as damage-sensitive features. Variations in , , or may reflect changes in structural integrity, such as stiffness degradation due to decay, root damage, or pathological weakening. The biomechanical interpretation of these parameters is therefore central to linking measured dynamic behaviour to physical degradation mechanisms, and these indicators are particularly effective when analysed over long time windows, allowing the definition of baseline behaviour and the robust detection of anomalies. However, this aim is hindered not only by varying environmental conditions (e.g., snow loads) but also by non-harmful structural changes in the tree itself, such as naturally occurring leaf fall in the cold season and man-made pruning [25, 27]. In turn, while not directly harmful, these changes can pose an indirect risk: e.g., pruned trees have much lower damping (due to lower air drag force) and, as a consequence of reduced energy dissipation during large-amplitude oscillations, are much more likely to undergo local (branch) or global (trunk) failures. Hence, human-made arboricultural practices have relevant (positive or negative) impacts. A vast literature is available on this topic; see, e.g., all the natural frequencies reported and discussed in [28] and [29] for different arboreal species, showing higher natural frequencies in the cold season (leaf-off) than in warmer months (spring-summer, leaf-on).
5. Vibration-based monitoring strategies and their limitations
In the examples found in the literature, vibration-based monitoring of trees is usually implemented using uni- or tri-axial accelerometers installed on selected anatomical parts of the tree, such as the trunk base, mid-height sections, or primary branches [23]. Both single-sensor and multi-sensor layouts have been reported, with the latter allowing for a more detailed characterisation of dynamic behaviour (see, e.g., [23]).
Yet, despite its potential, vibration-based tree monitoring faces several challenges:
1) While vibration-based indicators are sensitive to global structural changes, they may not always pinpoint localised defects without complementary measurements, e.g., long-term rigid roto-translation, which can have negligible effects on global stiffness until a critical point is reached, after which it results in a sudden (partial or total) collapse.
2) The intrinsic variability of structural systems under varying operational and environmental conditions complicates the definition of universal thresholds from vibration patterns alone (Fig. 3).
3) The failures can be caused by multiple comorbities (i.e., multiple coexisting factors), also including the superposition of predisposing causes and triggering phenomena. For instance, wind is the vastly predominant cause of tree failures, followed by fungal decay; yet, the two issues often coexist, with fungi-weakened trees more likely to break under wind loads. Structural Health Monitoring is intended to detect material degradation at an early stage, before exceptional external conditions could trigger the collapse.
4) Finally, living organisms react significantly to seasonal effects via growth and adaptation processes; these interactions between the biological structure and its environment do not have a counterpart in human-made systems, introducing another term that can be accounted for in data-driven modelling, i.e., the non-stationarity of their long-term dynamic response data.
Addressing all these limitations requires integrating different monitoring strategies and robust, physically principled data interpretation frameworks. This research field is currently under investigation by the Authors. That also includes:
1) Data fusion of vibration measurements (tree sway) with environmental (temperature, moisture, etc) and static (tree tilt, root–plate movement, etc.) monitoring.
2) AI-driven labelled supervised learning, including tree parameters that are statistically associated with a higher probability of trunk failure (e.g., tree height and estimated trunk weight) or uprooting (estimated trunk height, estimated total tree weight, soil conditions).
3) Physics-informed consideration on materials and modes of failure (e.g., buckling in light woods vs. tension-induced cracks propagating longitudinally along weak planes in dense woods), to account for different failure patterns according to wood density and anisotropic properties [31].
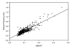
Fig. 3Key issues related to vibration-only SHM (not accounting for tree parameters and static and environmental monitoring)

a) Effects of varying operational conditions (branch pruning) on the dynamic response [25]

c) Effects of varying environmental conditions (wind speed and direction) [30]

b) Effects of different accelerometer locations in the identification of higher-order local modes [28]

d) Effects of tree growth (fundamental natural frequency vs the ratio of diameter at breast height to total tree height squared (DBH/H2) [29]
6. Conclusion and future developments
Recent events and trends, as reported in this document with a focus on the Italian context, shed light on the issue of mechanical failures in trees. In this context, vibration-based inspection and structural health monitoring are promising quantitative approaches for assessing tree stability and supporting preventive risk management in urban and rural environments, especially along highly trafficked transportation lines. By modelling trees as dynamic structural systems and exploiting ambient excitation, VBI and SHM can enable continuous, non-invasive surveillance of mechanical behaviour. However, the current state of the art highlights that, despite the central role of dynamic monitoring in providing damage-sensitive features, it must be integrated with other damage indicators, such as static, tomographic, and environmental measurements. Such a multi-faceted dataset would enable truly predictive data-driven modelling, encompassing a variety of possible damage-induced anomalies while filtering out uninteresting, damage-unrelated phenomena. In conclusion, the need for constant monitoring amid increasingly frequent extreme weather events will require dedicated, multidisciplinary, and effective solutions. These are the subject of ongoing research and will be discussed in future works.
References
-
J. Dlouhá, B. Moulia, M. Fournier, E. Badel, and T. Constant, “Beyond the perception of wind only as a meteorological hazard: importance of mechanobiology for biomass allocation, forest ecology and management,” Annals of Forest Science, Vol. 82, No. 1, Jan. 2025, https://doi.org/10.1186/s13595-024-01271-6
-
M. van Haaften et al., “Understanding tree failure-A systematic review and meta-analysis,” PLOS ONE, Vol. 16, No. 2, p. e0246805, Feb. 2021, https://doi.org/10.1371/journal.pone.0246805
-
“Turin, in four years +600% increase in fallen trees: Adequate monitoring is needed.” www.torinotoday.it. https://www.torinotoday.it/politica/alberi-caduti-dati-2024-2021.html (accessed Feb. 2026).
-
“Genoa, woman crushed by a palm tree in Piazza Paolo da Novi: died instantly.” genova.repubblica.it, 2025, https://genova.repubblica.it/cronaca/2025/03/12/news/genova_donna_schiacciata_da_una_palma_piazza_paolo_da_novi_morta-424058759
-
“Tree falls at the University of Fisciano, five injured.” www.rainews.it, 2024, https://www.rainews.it/tgr/campania/articoli/2024/11/albero-cade-alluniversita-di-fisciano-tre-persone-coinvolte-f2b8fd77-a2a8-4006-8a06-9ffef30a38c9.html
-
“Tree collapses onto a bus terminal in Venice: 12 injured, two women seriously hurt.” quotidiano.net, 2025, https://www.quotidiano.net/cronaca/albero-crolla-terminal-venezia-feriti-iw3bv770
-
“Rome, tree collapses onto a bench in Colli Aniene park: 45-year-old woman dead, her 3 children unharmed. A friend is in serious condition. The prosecutor’s office is investigating for manslaughter.” roma.corriere.it, 2024, https://roma.corriere.it/notizie/cronaca/24_dicembre_23/roma-cade-un-albero-a-colli-aniene-morta-una-donna-nel-crollo-ferita-un-altra-passante-4fe226ae-cbb7-4aba-b305-a2e7c7787xlk.shtml
-
“Fallen trees in Rome, breakthrough in the major investigation: dozens under investigation. Analysis on over 600 trees that fell between 2023 and 2024.” roma.corriere.it, 2024, https://roma.corriere.it/notizie/cronaca/24_ottobre_10/alberi-caduti-a-roma-svolta-nella-maxi-inchiesta-decine-di-indagati-analisi-su-oltre-600-piante-cadute-fra-2023-e-2024-3d5e3616-55af-416d-9c71-d2aadafabxlk.shtml
-
“Near tragedy in Trani: a palm tree suddenly falls onto a car and narrowly misses a passerby.” lastampa.it, 2026, https://www.lastampa.it/cronaca/2026/01/11/video/tragedia_sfiorata_a_trani_palma_cade_su_unauto_allimprovviso_e_sfiora_un_passante-15463929
-
“Rome, a pine tree collapses at the Imperial Forums: three injured.” romatoday.it, 2026, https://www.romatoday.it/cronaca/albero-caduto-fori-imperiali-ferito.html
-
“A 20-metre pine tree collapses in Rome: fear on Via dei Fori Imperiali.” www.romatoday.it, 2026, https://www.romatoday.it/cronaca/albero-caduto-colosseo-fori-imperiali-4-gennaio-2026.html
-
“Another pine tree collapses in Via dei Fori Imperiali – – Rome: a second tree collapses in Via dei Fori Imperiali.” www.romatoday.it, 2026 https://www.romatoday.it/cronaca/albero-caduto-via-dei-fori-imperiali-8-gennaio-2026.html
-
“Another palm tree collapses, tragedy near Nervi.” www.rainews.it, 2026, https://www.rainews.it/tgr/liguria/articoli/2026/02/crolla-unaltra-palma-tragedia-sfiorata-a-nervi-1fb02098-0b06-4471-9951-0931730626b0.html.
-
T. W. Schmidlin, “Human fatalities from wind-related tree failures in the United States, 1995-2007,” Natural Hazards, Vol. 50, No. 1, pp. 13–25, Nov. 2008, https://doi.org/10.1007/s11069-008-9314-7
-
J. Watt and D. J. Ball, “Trees and the Risk of Harm,” Centre for Decision Analysis and Risk Management, Middlesex University, Jun. 2009.
-
M. van Haaften, C. Gardebroek, W. Heijman, and M. P. M. Meuwissen, “Injuries and deaths due to tree failure in The Netherlands: analysis of observational data from 1998-2021,” Scientific Reports, Vol. 14, No. 1, p. 28, Sep. 2024, https://doi.org/10.1038/s41598-024-73716-x
-
“S.I.A. Protocol on the Assessment of Tree Stability,” (in Italian), Italian Society of Arboriculture – Società Italiana di Arboricoltura (S.I.A.), Monza (MB), Italy, 2007, https://www.isaitalia.org/images/pdf/Protocollo_stabilit_web.pdf
-
“Areté® Protocol for the Assessment of Tree Risk,” ARBORETE, 2020, https://www.protocolloarete.it
-
D. L. Hoag, R. B. Fridley and J. R. Hutchinson, “Experimental Measurement of Internal and External Damping Properties of Tree Limbs,” Transactions of the ASAE, Vol. 14, No. 1, pp. 0020–24, Jan. 1971, https://doi.org/10.13031/2013.38215
-
T. A. McMahon, “The mechanical design of trees,” Scientific American, Vol. 233, No. 1, pp. 92–102, Jul. 1975, https://doi.org/10.1038/scientificamerican0775-92
-
C. J. Baker and H. J. Bell, “The aerodynamics of urban trees,” Journal of Wind Engineering and Industrial Aerodynamics, Vol. 44, No. 1-3, pp. 2655–2666, Oct. 1992, https://doi.org/10.1016/0167-6105(92)90057-h
-
F. Rizzo, “Investigation of the time dependence of wind-induced aeroelastic response on a scale model of a high-rise building,” Applied Sciences, Vol. 11, No. 8, p. 3315, Apr. 2021, https://doi.org/10.3390/app11083315
-
A. Giachetti, G. Zini, Y. Giambastiani, and G. Bartoli, “Field measurements of tree dynamics with accelerometers,” Forests, Vol. 13, No. 8, p. 1243, Aug. 2022, https://doi.org/10.3390/f13081243
-
K. R. James, N. Haritos, and P. K. Ades, “Mechanical stability of trees under dynamic loads,” American Journal of Botany, Vol. 93, No. 10, pp. 1522–1530, Oct. 2006, https://doi.org/10.3732/ajb.93.10.1522
-
K. James, “A study of branch dynamics on an open-grown tree,” Arboriculture and Urban Forestry, Vol. 40, No. 3, pp. 125–134, May 2014, https://doi.org/10.48044/jauf.2014.014
-
B. Theckes, E. de Langre, and X. Boutillon, “Damping by branching: a bioinspiration from trees,” Bioinspiration and Biomimetics, Vol. 6, No. 4, p. 046010, Dec. 2011, https://doi.org/10.1088/1748-3182/6/4/046010
-
T. Jackson et al., “An architectural understanding of natural sway frequencies in trees,” Journal of The Royal Society Interface, Vol. 16, No. 155, p. 20190116, Jun. 2019, https://doi.org/10.1098/rsif.2019.0116
-
C. J. Baker, “Measurements of the natural frequencies of trees,” Journal of Experimental Botany, Vol. 48, No. 5, pp. 1125–1132, Jan. 1997, https://doi.org/10.1093/jxb/48.5.1125
-
J. R. Moore and D. A. Maguire, “Natural sway frequencies and damping ratios of trees: concepts, review and synthesis of previous studies,” Trees – Structure and Function, Springer Science and Business Media LLC, 2004, https://doi.org/10.1007/s00468-003-0295-6
-
T. D. Jackson et al., “The motion of trees in the wind: a data synthesis,” Biogeosciences, Vol. 18, No. 13, pp. 4059–4072, Jul. 2021, https://doi.org/10.5194/bg-18-4059-2021
-
A. R. Ennos and A. van Casteren, “Transverse stresses and modes of failure in tree branches and other beams,” Proceedings of the Royal Society B: Biological Sciences, Vol. 277, No. 1685, pp. 1253–1258, Apr. 2010, https://doi.org/10.1098/rspb.2009.2093
About this article
This contribution is part of the inter-departmental project Risk Observation and Output-only Tree Surveillance (ROOTS), funded by Politecnico di Torino. The financial support is kindly acknowledged.
The datasets generated during and/or analyzed during the current study are available from the corresponding author on reasonable request.
The authors declare that they have no conflict of interest.